文章详情
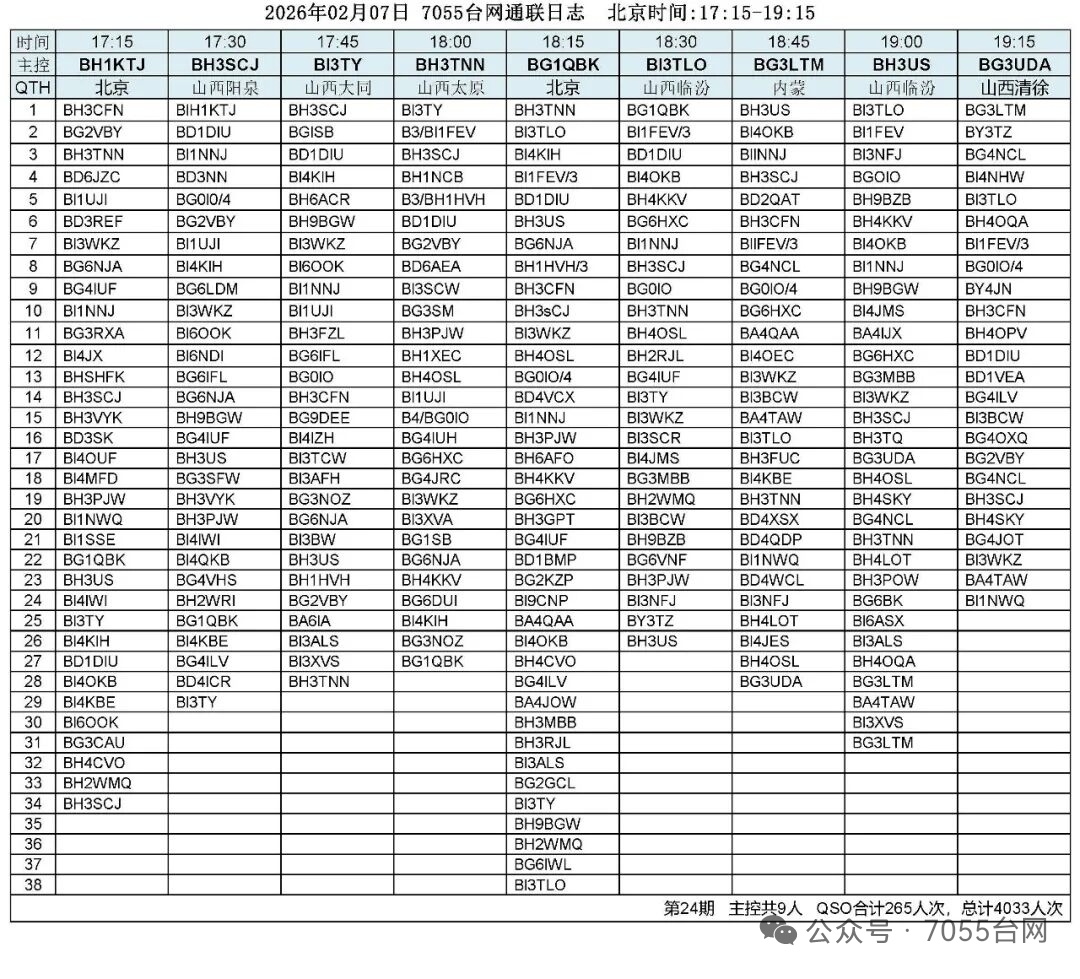
7055台网 2026年02月07日 通联日志
感谢大家的热情参与,同时也祝各位HAM通联愉快。由于传播因素影响,现将台网时间调为北京时间17:15开始,请各位业余无线电爱好者们注意时段。我们下期再见 73!
7055台网工作组

微信打赏

支付宝打赏

文章来源:https://mp.weixin.qq.com/s/V-vHM6YtAzWozpCtSjWYwg

QLHAM.COM:本站发布内容如无意侵犯您的版权,请联系站长删除。

本文链接:https://qlham.com/3232.html

相关推荐
7055台网
7055台网 2026年02月28日 通联日志
感谢大家的热情参与,同时也祝各位HAM通联愉快。由于传播因素影响,现将台网时间调为北京时间17:15开始,请各位业余无线电爱好者们注意时段。…
7055台网记录 2026-03-01
174

扫描二维码

添加微信好友

扫描二维码

QQ:1247432123